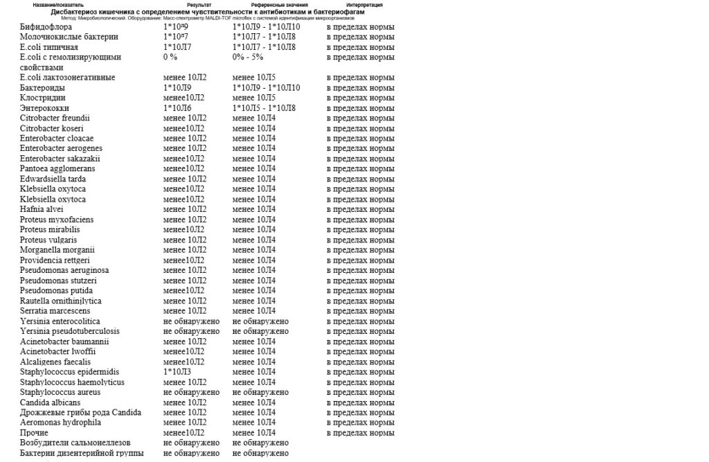
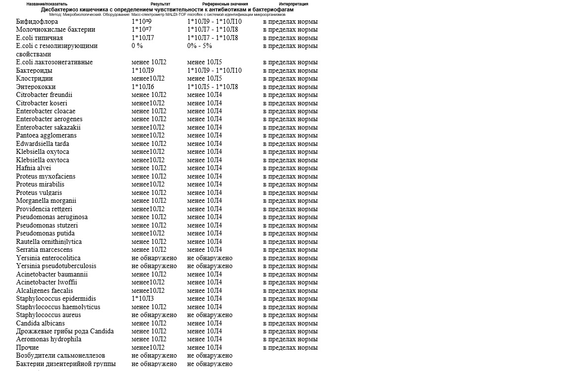
Анализ кала на дисбактериоз

Невидимый мир бактерий в кишечнике определяет многое: от пищеварения до иммунитета. Когда этот хрупкий баланс нарушается, организм подаёт сигналы. Вздутие живота, расстройства стула, непонятная слабость — всё это может указывать на проблемы с микрофлорой. Именно для выявления таких нарушений проводится специальное исследование — анализ кала на дисбактериоз кишечника. Цена этого теста может варьироваться в Санкт-Петербурге в зависимости от клиники, её оснащения и полноты исследуемых параметров.
Медицинская документация соответствует стандартам, содержит всю необходимую информацию, заверена печатями и подписями врачей.

Образец анализа кала на дисбактериоз

Анализ кала на дисбактериоз
Заказать справку результат анализа кала на дисбактериоз можно, обратившись в наш центр «5й кабинет». Оператор по телефону или в онлайн чате расскажет, где можно быстро получить медицинский документ.
600 руб.

Что показывает анализ на микрофлору

Лабораторное исследование методом посева помогает понять, какие микроорганизмы населяют пищеварительную систему. Специалисты определяют количество полезных бактерий и выявляют патогенные микробы. Это не просто подсчёт — врачи оценивают соотношение различных групп микроорганизмов и их влияние на здоровье пациента.

Результаты анализа становятся основой для назначения правильного лечения. Дополнительно лаборатория проводит тест на чувствительность обнаруженных бактерий к антибиотикам и бактериофагам. Благодаря этому врач подбирает препараты, которые действительно помогут восстановить баланс микрофлоры кишечника.

В каких случаях назначают исследование

Чтобы понять причину недомогания, врачи рекомендуют сдать биоматериал на исследование. Выяснить, сколько стоит анализ кала на дисбактериоз, и сделать его необходимо при:

  • постоянных проблемах со стулом;
  • частых кишечных инфекциях у детей и взрослых;
  • длительном приёме антибиотиков, нарушающих естественную микрофлору;
  • аллергических реакциях, причину которых не удаётся установить;
  • подготовке к хирургическому вмешательству на органах пищеварения.

Особенно важно это исследование после курса антибактериальной терапии. Антибиотики уничтожают не только вредные, но и полезные бактерии, что может привести к дисбактериозу. Анализ покажет, насколько серьёзно пострадала микрофлора и требуется ли её восстановление специальными препаратами.

Стоимость анализа кала на дисбактериоз в различных лабораториях города отличается. Сотрудники медицинского центра «5-й кабинет» расскажут, как получить результаты без лишних задержек, и организуют доставку готовых результатов исследования в удобное время по СПб.

Часто задаваемые вопросы

Соотношение бактерий:
1. Норма — бифидобактерии >10^8 КОЕ/г, лактобактерии >10^6;
2. Рост патогенов (>10^5) — дисбактериоз 1–3 степени. Не диагноз, а повод для коррекции.
При хронических расстройствах ЖКТ, иммунодефиците, антибиотиках, подготовке к операциям/беременности, детям с коликами/аллергией.
Дисбактериоз — количественный состав микрофлоры; бакпосев — выявление конкретного патогена + чувствительность.
Получить готовый результат без сдачи анализа вы можете в нашем медцентре.
Дисбактериоз (дисбиоз) — это нарушение баланса микрофлоры кишечника, при котором количество патогенных микроорганизмов превышает численность полезных. Это может привести к проблемам с пищеварением, снижению иммунитета и другим симптомам.
Материалы, размещённые на сайте, не предназначены для постановки диагноза и лечения и не заменяют приём врача.
Имеются противопоказания. Необходима консультация специалиста.
На информационном ресурсе применяются рекомендательные технологии (информационные технологии предоставления информации на основе сбора, систематизации и анализа сведений, относящихся к предпочтениям пользователей сети “Интернет”, находящихся на территории Российской Федерации). Наша организация не осуществляет медицинскую деятельность.

Свяжитесь с нами

MAX
Открыть чат
Telegram
Открыть чат
WhatsApp
Открыть чат

Вы не можете скопировать содержимое этой страницы